Novičok (in russo: новичок, "nuovo venuto, principiante")[1] descrive una classe di agenti nervini prodotti nell'Unione Sovietica tra il 1970 e il 1993[2][3]. Sono "agenti nervini di quarta generazione" e fanno parte del programma sovietico "Foliant", riguardante la creazione di nuovi insetticidi e agenti nervini nei laboratori di Mosca e Šichany, nell'odierna Federazione Russa.[4]
Il progetto venne inizialmente definito in URSS con il nome di Foliant e portò allo sviluppo di vari agenti unitari, da questi vennero sviluppati i composti binari chiamati Novičok. La famiglia dei Novičok e analoghi, comprende oltre un centinaio di varianti strutturali, ma a livello di produzione in grande quantità sono certificate solo tre varianti di sostanze binarie tipo Novičok (5-7 ed uno rimasto senza numero) e quattro sostanze unitarie (sostanza 33, A-230 e A-232, recentemente è stata confermata l'esistenza del A-234) da cui sono stati sviluppate le sostanze Novičok stesse.
Obiettivi designati
Questi agenti sono stati realizzati per essere:
- non tracciabili con i metodi chimici standard di rilevamento (delle armi chimiche) NATO;
- permeabili rispetto agli abiti di protezione chimica della NATO;
- sicuri da maneggiare e da stoccare;
- idonei ad aggirare la Convenzione sulle Armi Chimiche.
Alcuni di questi agenti, gli agenti Novichok come visto, sono agenti binari, in cui l'agente tossico si forma dopo aver miscelato i suoi precursori contenuti in compartimenti separati. Poiché i precursori sono generalmente molto meno pericolosi rispetto agli agenti stessi, questa tecnica rende tali munizioni più maneggiabili e trasportabili in grandi quantità.
Inoltre, dato che i precursori separati sono generalmente molto più facili da stabilizzare rispetto agli agenti tossici che si formano in seguito alla loro miscelazione, questa tecnica consente anche di aumentare il tempo di conservazione e la loro emivita.
Scoperta e rivelazione
Secondo una pubblicazione di due chimici, Lev Fyodorov e Vil Mirzayanov, nel settimanale Moskovskiye Novosti del 1992, l'Unione Sovietica e la Russia avrebbero sviluppato armi chimiche di quarta generazione, estremamente potenti dagli anni '70 fino all'inizio degli anni '90.[5] La pubblicazione apparve proprio alla vigilia della firma russa della Convenzione sulle armi chimiche. Secondo Mirzayanov, il Russian Military Chemical Complex (MCC) utilizzava i fondi destinati alla riduzione degli armamenti chimici ricevuti dall'Occidente per fini completamente opposti, ossia per lo sviluppo di un impianto di guerra chimica. Mirzayanov fece la sua rivelazione per questioni ambientali; difatti mentre era il capo di un dipartimento di controspionaggio, eseguì misurazioni al di fuori delle strutture di produzione di armi chimiche per assicurarsi che le spie straniere non potessero rilevare alcuna traccia di produzione. A seguito di tali misurazioni rilevò, con sgomento, che i livelli di sostanze mortali erano ottanta volte maggiori rispetto al livello di massima concentrazione sicura.[6]
Grazie alle rivelazioni di Mirzayanov venne così scoperta e apertamente ammessa l'esistenza di agenti Novichok da parte dalle autorità, che accusarono Mirzayanov di alto tradimento. Le autorità del complesso industriale militare russo ammisero l'esistenza degli agenti Novichok solo quando denunciarono Mirzayanov per alto tradimento. Infatti, a supporto della denuncia, venne preparata una testimonianza per il KGB da parte di tre chimici esperti, secondo i quali il Novichok ed altri agenti chimici correlati furono effettivamente prodotti; con tale atto si rese possibile dimostrare che la rivelazione di Mirzayanov rappresentava una forma di alto tradimento anche se ciò portò alla rivelazione dell’esistenza delle sostanze chimiche fino ad allora segrete.
Mirzayanov fu arrestato il 22 ottobre 1992 e imprigionato nel carcere di Lefortovo per divulgazione di segreti di stato. In seguito venne rilasciato perché "nessuna delle formule o dei nomi di sostanze velenose presenti nell'articolo pubblicato su Mosca News erano nuovi alla stampa sovietica, né sono state rivelate le posizioni ... dei siti di test". Secondo Yevgenia Albats, "il vero segreto rivelato da Fyodorov e Mirzayanov era che i generali avevano mentito - e stavano ancora mentendo - sia alla comunità internazionale che ai loro concittadini". Mirzayanov ora vive negli Stati Uniti.[7]
Seguirono ulteriori rivelazioni quando Vladimir Uglev, uno dei principali scienziati russi di munizioni binarie, rivelò l'esistenza dell'A-232 / Novichok-5 in un'intervista alla rivista Novoye Vremya rilasciata all'inizio del 1994.[8] Inoltre, nella sua intervista del 1998 con David E. Hoffman rilasciata per il giornale “The Washington Post”, il chimico sostenne di aver contribuito a inventare l'agente A-232, che era più resistente al gelo, e confermò che da esso è stata sviluppata una versione binaria.[9] Uglev rivelò maggiori dettagli nel 2018, in seguito all'avvelenamento degli Skripal', affermando che "diverse centinaia" di composti sono stati sintetizzati durante la ricerca Foliant ma solo quattro agenti sono stati armati (presumibilmente i Novichok-5, -7, -8 e -9 menzionati da altre fonti): i primi tre erano liquidi e solo l'ultimo, che non era stato sviluppato fino al 1980, poteva essere trasformato in polvere. Diversamente dall'intervista vent'anni prima, ha negato che gli agenti binari siano stati sviluppati con successo, almeno fino a quando il suo coinvolgimento nella ricerca non è terminato, nel 1994.[10]
Secondo una notizia del 2018 dell’agenzia Reuters, negli anni '90, il Servizio Federale di Intelligence tedesco (BND) ottenne un campione di un agente Novichok da uno scienziato russo; tale campione venne analizzato in Svezia. La formula chimica risultante venne quindi consegnata ai paesi occidentali della NATO, che hanno utilizzato piccole quantità dell’agente per testare attrezzature protettive e di prova nonché antidoti.[11] Novichok è stato citato in un brevetto depositato nel 2008 per il trattamento di avvelenamento da organofosforo. La ricerca, effettuata dall’Università del Maryland di Baltimora, venne parzialmente finanziata dall'esercito statunitense. Leonid Rink, che ha affermato di aver svolto la sua ricerca di dottorato sugli agenti di Novichok,[12] confermò che le composizioni trapelate da Mirzayanov erano quelle corrette.[13] Leonid Rink è stato condannato in Russia nel 1994 per aver venduto illegalmente l'agente.[14][15]
Descrizione degli agenti Novichok
La prima descrizione di questi agenti venne fornita dallo stesso Mirzayanov. Invece di essere in dispersione in un gas o nel vapore, sono associati a una polvere ultra-fine, e sono dotati di qualità uniche. I composti più potenti di questa famiglia sono il Novichok-5, il Novichok-7 ed un Novichok dal numero non conosciuto. Tuttavia le strutture chimiche esatte di questi composti non sono state ancora verificate in modo attendibile. I siti principali di produzione, secondo lo stesso Mirzayanov, erano Novocheboksarsk, Shikhany e Volgograd.[4]

Dell'A-234 fu affermata l'esistenza dagli statunitensi in un documento del 1997 e da vari esperti occidentali, ma Myrzayanov non lo identificò inizialmente tra le sostanze principali create nel suo scritto originale;[4][16] l'A-234 viene considerato diverse volte più tossico del VX e sarebbe a sua volta un derivato etossi del A-232 (da cui si compone il Novichok 5). Non è dato sapere quale sia la sigla del corrispettivo Novichok binario sviluppato sulla base del A-234; il composto binario, derivato dal A-234, sarebbe stato usato nel tentato assassinio di Skripal nel marzo 2018.[17]
Sostanza 33, A-230, A-232 e A-234 sono gli agenti unitari da cui poi sono stati sviluppati i composti binari definiti Novichok.
Dispersi in una polvere o in forma liquida invece di un gas o aerosol gli agenti binari sono stati creati per avere proprietà similari agli agenti singoli, ma in maniera da renderne più semplice manipolazione e trasporto ed essere meno rilevabili alle ispezioni; quando i due componenti vengono combinati assieme, si ottiene l'agente letale che ricalca o si avvicina agli agenti unitari.[18] I più potenti composti di questa famiglia, Novichok-5 e Novichok-7, sono presumibilmente da cinque a otto volte più potenti del VX. Si suppone che altri Novichok siano stati studiati (Myrzayanov ne citava in particolare uno basato sulla sostanza 33, ma senza assegnare un numero), ma ci sono poche informazioni al riguardo e non risultano essere entrati in produzione.
Piccole sperimentali quantità delle armi sono state testate presso i centri di ricerca e test a Nukus (in Uzbekistan, dove nel 1999 vennero effettuate ispezioni da parte statunitense)[19] ed a Shikhany (nella Federazione Russa), quest'ultimo era anche il principale sito produttivo del Novichok secondo Myrzayanov.[4][20]
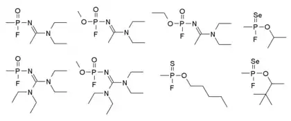
Novichok 5 e Novichok 7 hanno strutture di massima conosciute (Novichok 5 è 3-cloro-2-metilpropil ((clorofluorometilene)amino)ossifosfonofluoridato) (CAS 16415-09-1), e Novichok 7 è 3-cloro-2-metilbutil((clorofluorometilene)amino)ossifosfonofluoridato (CAS 19952-57-9)).[21][22][23][24][25][26][27][28][29]
Nessuno degli agenti chimici che producono l'agente binario sono controllati sotto la moratoria delle armi chimiche, in quanto prodotti successivamente all'entrata in vigore della stessa. Allo stesso tempo nessuno dei precursori trova legittimo uso in industria chimica e non sono commercialmente reperibili nonostante alcune comunanze con alcuni fertilizzanti. La produzione dei precursori poteva essere in teoria coperta a livello industriale sostituendo alcuni componenti dei fertilizzanti con altre similari garantendo la segretezza del programma.
Mirzayanov fornisce strutture leggermente diverse per gli agenti di Novichok nella sua autobiografia, come mostrato di seguito. Egli rende chiaro che siano stati fatti molti composti e molti dei derivati, di gran lunga meno potenti, sarebbero stati riportati nella letteratura aperta come nuovi insetticidi organofosfati, in modo che il programma segreto delle armi chimiche possa essere travestito come legittima ricerca sui pesticidi.[30]

Solo nel 2016, in Iran, sono stati sintetizzati una serie di composti similari al Novichok, il risultato di tale sperimentazione è stato ceduto all'OPCW per effettuare i rilievi chimici necessari.[31]
Durata
Secondo Vladimir Uglyov, che ha lavorato allo sviluppo di Novichok, l'agente è molto stabile con un basso tasso di evaporazione e può rimanere pericoloso per anni dopo essere stato distribuito.[32] Ricerche insufficienti sono state fatte per comprendere appieno la sua persistenza in varie situazioni nell'ambiente.[33]
Effetti
Come altri agenti nervini, il Novichok appartiene agli organofosfati inibitori dell'acetilcolinesterasi. Questi composti chimici inibiscono l'enzima dell'acetilcolinesterasi, impedendo il metabolismo del neurotrasmettitore acetilcolina. Pertanto aumenta la concentrazione di acetilcolina nei recettori neuromuscolari, e di conseguenza la contrazione involontaria di tutti i muscoli, conducendo all'arresto sia respiratorio che cardiaco, ed infine alla morte. L'uso di un anticolinergico[34] come l'atropina potrebbe bloccare i recettori dell'acetilcolina per prevenire l'avvelenamento, ma è un'azione molto pericolosa.
Note
- ↑ newscientist.com, https://www.newscientist.com/article/2163502-what-are-novichok-nerve-agents-and-did-russia-do-it/ .
- ↑ Jonathon B. Tucker scrive che l'approvazione per iniziare le ricerche sulle armi chimiche di "quarta generazione" è stata data dal Comitato Centrale del Partito Comunista e dal Consiglio dei Ministri sovietico nel maggio 1971. Vil Mirzayanov, lo scienziato russo che per primo allertò l'Occidente circa esistenza degli agenti di Novičok, afferma che i test di Novičok-7 sono stati completati con successo nel 1993, dopo la firma della Convenzione sulle armi chimiche, ma prima che la Russia ratificasse il trattato e prima che entrasse in vigore
- ↑ Jonathon B. Tucker, War of Nerves, New York, Anchor Books, 2006, pp. 231-233, ISBN 978-0-375-42229-4.
- 1 2 3 4 Stimson Center, Chemical Weapon Disarmament in Russia: problems and prospects, Pagina 25.
- ↑ Lev Fyodorov e Vil Mirzayanov, A Poison Policy, in Moscow News, n. 39, 20 settembre 1992.
- ↑ Chemical Weapons Disarmament in Russia: Problems and Prospects; Dismantling the Soviet/Russian Chemical Weapons Complex: An Insider's View, su stimson.org, Henry L. Stimson Center, Washington, D.C., 13 ottobre 1995.
- ↑ David Hoffman, Wastes of War: Soviets Reportedly Built Weapon Despite Pact, in The Washington Post, 16 agosto 1998. URL consultato il 20 luglio 2007.
- ↑ J. Michael Waller, The Chemical Weapons Coverup, in The Wall Street Journal, 13 febbraio 1997. URL consultato il 14 marzo 2018.
- ↑ WashingtonPost.com: Cold War Report, in The Washington Post.
- ↑ Svetlana Reiter e Natalia Gevorkyan, The scientist who developed "Novichok": "Doses ranged from 20 grams to several kilos", su thebell.io, 20 marzo 2018.
- ↑ Sabine Siebold, Andrea Shalal, West's knowledge of Novichok came from sample secured in 1990s: report, Reuters, 16 maggio 2018. URL consultato il 24 maggio 2018.
- ↑ Cockburn H., Soviet-era scientists contradict Moscow's claims Russia never made Novichok nerve agent, su independent.co.uk, The Independent, 20 marzo 2018.
- ↑ Boris Johnson compares Russian World Cup to Hitler's 1936 Olympics, su stuff.co.nz, 22 marzo 2018.
- ↑ Nerve agent was used in 1995 murder, claims former Soviet scientist.
- ↑ Secret trial shows risks of nerve agent theft in post-Soviet chaos: experts, su Reuters.
- ↑ (EN) John Pike, Russia dodges chemical arms ban By Bill Gertz THE WASHINGTON TIMES Tuesday, su globalsecurity.org. URL consultato il 6 aprile 2018.
- ↑ (EN) What are Novichok nerve agents?, in BBC News, 19 marzo 2018. URL consultato il 6 aprile 2018.
- ↑ Louise Hidalgo, US dismantles chemical weapons, BBC News Online, 9 agosto 1999. URL consultato il 20 luglio 2007.
- ↑ (EN) Judith Miller, U.S. and Uzbeks Agree on Chemical Arms Plant Cleanup, in The New York Times, 25 maggio 1999. URL consultato il 6 aprile 2018.
- ↑ David Wise, Cassidy's Run: The Secret Spy War Over Nerve Gas, Thorndike.
- ↑ Kruglyak Yu L, Malekin SI, Martynov IV. Phosphorylated oximes. XII. Reactions of 2-halophospholanes with dichlorofluoronitrosomethane. Zhurnal Obshchei Khimii. 1972; 42(4):811-14.
- ↑ Malygin VV, Sokolov VB, Richardson RJ, Makhaeva GF. Quantitative structure-activity relationships predict the delayed neurotoxicity potential of a series of O-alkyl-O-methylchloroformimino phenylphosphonates. Journal of Toxicology and Environmental Health Part A. 2003 Apr 11;66(7):611-25. PMID 12746136
- ↑ Steven L. Hoenig. Compendium of Chemical Warfare Agents. Springer New York, 2007. ISBN 978-0-387-34626-7
- ↑ Ivanov IuIa, Sokolov VB, Epishina TA, Martynov IV. O-substituted alkylchloroformoximes as substrates and inhibitors of cholinesterases. Doklady Akademii Nauk SSSR. 1990;310(5):1253-5. PMID 2354654
- ↑ Raevskiĭ OA, Chistiakov VV, Agabekian RS, Sapegin AM, Zefirov NS. Formation of models of the interaction between organophosphate compound structure and their ability to inhibit cholinesterase. Bioorganicheskaia Khimiia. 1990 Nov;16(11):1509-22. PMID 2096825
- ↑ Makhaeva GF, Filonenko IV, Yankovskaya VL, Fomicheva SB, Malygin VV. Comparative studies of O,O-dialkyl-O-chloromethylchloroformimino phosphates: interaction with neuropathy target esterase and acetylcholinesterase. Neurotoxicology. 1998 Aug-Oct;19(4-5):623-8. PMID 9745921
- ↑ Raevskii OA, Grigor'ev V Yu, Solov'ev VP, Ivanov AN, Sokolov VB, Martynov IV. Electron-Donor Functions of Ethyl Methylchloroformimino Methylphosphonate. Zhurnal Obshchei Khimii. 1987; 57(9):2073-2078
- ↑ Raevskii OA, Chapysheva NV, Ivanov AN, Sokolov VB, Martynov IV. Effect of Alkyl Substituents in Phosphorylated Oximes. Zhurnal Obshchei Khimii. 1987; 57(12):2720-2723
- ↑ 'Compendium of Chemical Warfare Agents' by Steven L. Hoenig pages 79-80 ISBN 0-387-34626-0, ISBN 978-0-387-34626-7
- ↑ Vil S Mirzayanov. State Secrets. An Insider's Chronicle of the Russian Chemical Weapons Program. (2009) pp142-145, 179-180. ISBN 978-1-4327-2566-2
- ↑ (EN) Iranian chemists identify Russian chemical warfare agents - Ezine - spectroscopyNOW.com, su spectroscopynow.com. URL consultato il 6 aprile 2018 (archiviato dall'url originale il 13 dicembre 2018).
- ↑ (EN) This is how two people could have been poisoned with novichok again, in The Independent. URL consultato il 20 luglio 2018.
- ↑ (EN) Prof Alastair Hay, Why Novichok stays deadly for so long, in BBC News, 11 luglio 2018. URL consultato il 20 luglio 2018.
- ↑ AChE periferico fast-acting ad azione veloce.
Altri progetti
Wikimedia Commons contiene immagini o altri file su Novichok